Ion motors
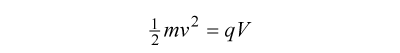
Curiously, the first ever ion thruster was made by Robert Goddard in 1916 although it being in the days before space flight he could only do experiments in his laboratory. There are many different types of ion motor design, one type called a Hall Effect Thruster carried ESA’s Smart 1 mission to the Moon. The 29 kg motor used 82 kg of xenon to produce a 68 mN thrust over 7000 hours of operating life. It achieved a specific impulse of 1640 s, over four times better than the best liquid fuel rocket motors. It might seem odd that xenon is used as the propellant, after all, chemical rockets benefit from having an exhaust composed of very low mass particles. The reason is that ion thrusters are power limited and so it is best to maximise the thrust per unit of power rather than per unit of energy. The kinetic energy of each ion is given by the equation:

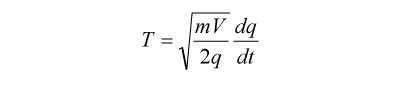
Where m is the mass of the particle, ν its velocity, q the charge on the ion and V the electric potential that it is accelerated through. Rearranging the equation gives the momentum p of each particle as:

The rate of change of momentum with respect to time is the thrust of the engine T and so:

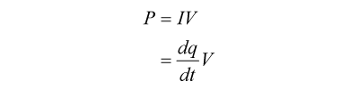
Electrical power P is just the product of current I and potential difference:

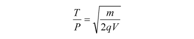
And so the ratio of thrust to power is:

This shows that the best performance is given by exhaust particles with a high mass to charge ratio, hence the use of gases such as xenon.